[ad_1]
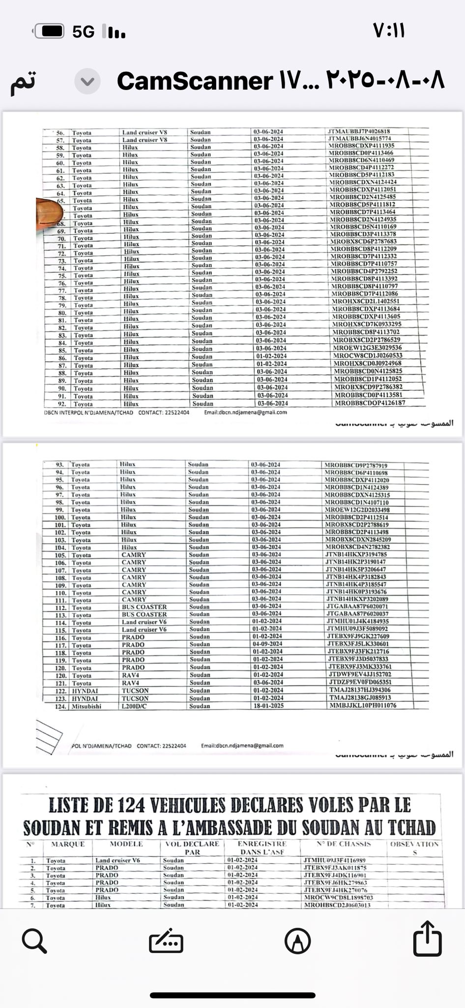
القائمة تضم 124 مركبة أُعلن عن سرقتها في السودان وسُلِّمت إلى سفارة السودان في تشاد




[ad_2]
Source
القائمة تضم 124 مركبة أُعلن عن سرقتها في السودان وسُلِّمت إلى سفارة السودان في ت…
Leave a Comment
[ad_1]
القائمة تضم 124 مركبة أُعلن عن سرقتها في السودان وسُلِّمت إلى سفارة السودان في تشاد




[ad_2]
Source

Sign in to your account